Онлайн Биржа Туров
Алексея Днепрового
Dneprovoi.Ru - туры и SPO от туроператоров Санкт-Петербурга и Москвы,
пляжные, экскурсионные, рекламные, авиабилеты, визы, вакансии, семинары   +7 (921939-81-99
Выберите регион
Добавить в
 Показать ВСЕ СПО
 РУБРИКИ
   Новости(3)
   Каникулы(4)
   Круизы(1)
   Новый Год(3)
   Оформление(1)
   Рекламные Туры(1)
 СТРАНЫ
   Белоруссия (2)
   Крым (1)
   Россия (18)
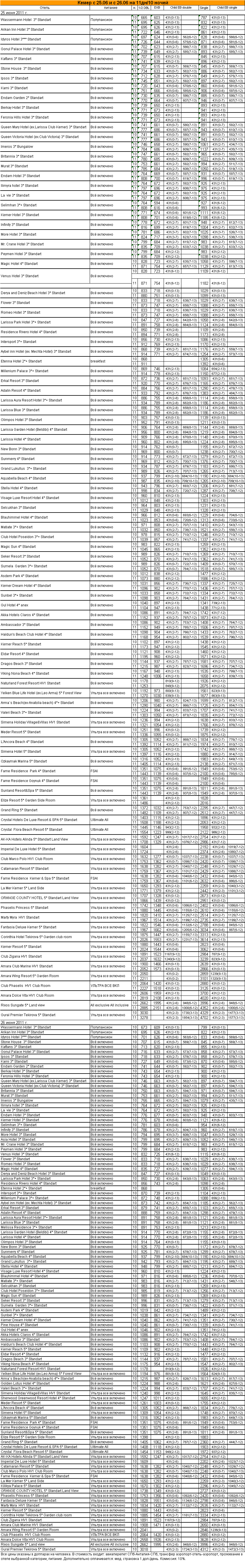
21 Июн 2011 14:02:58 ТУРЦИЯ. Кемер с 25.06 и с 26.06 на 11дн/10 ночей от фирмы АЛМА ТУР
  info@almatour.ru
mел. (812) 321-6929

Вы получили рассылку Питер-Т www.dneprovoi.ru | управление подпиской | условия размещения
Тел. +7 (921) 939-81-99, е-mail pitert@dneprovoi.spb.ru, Skype: PiterDnepr, видео стран www.tours-tv.ru
Ответственность за содержание объявлений несут предоставившие их фирмы

Подписка на новости турбизнеса и дайджест туров
Разместить вашу информацию в бирже туров
12+
на 18 Oct 2022 20:56
12 spo за 24 часа
40 269 просмотров
зарег. пользователи:
36 959 по всей России
  4 360 по Москве и МО
  11 846 по СПб и Сев-Зап
  14 371 по РФ без столиц
  6 382 по Сибири и ДВ